지식과 인공지능
1. 일반적인 응용 소프트웨어와 비교하였을 때 지식기반 시스템이 갖는 특징은 무엇인가?
일반적인 응용 소프트웨어에서는 해결해야 할 문제에 대한 처리과정이나 적용 순서가 알고리즘으로 정해져 있으며, 규칙이 바뀔 경우 프로그램을 수정해야 한다. 즉, 문제풀기를 위한 지식과 이를 사용하여 문제를 해결하는 지식 적용의 제어가 밀접하게 결합되어 있다. 반면 지식기반 시스템은 지식 베이스(knowledge base)와 추론기관(inference engine)이라는 두 가지 주요 요소를 포함하는데, 지식 베이스는 대상문제 분야의 지식을 쉽게 접근할 수 있는 형태로 저장하는 역할을, 추론기관은 지식 베이스의 지식을 이용하여 문제를 풀어내는 역할을 담당한다. 추론기관은 문제 분야의 지식과는 독립적이며, 새로운 응용에 대한 지식기반 시스템을 구성하려면 그 응용 분야에 대한 지식 베이스만 재구성하면 된다.
2. 바람직한 지식표현 방법이 갖추어야 할 조건에 대하여 설명하라.
문제영역에서 필요로 하는 모든 지식을 정확하게 표현할 수 있어야 하고(표현방법의 적합성), 표현된 지식을 적절히 처리하여 기존의 지식으로부터 새로운 지식을 유도해 내기에 적합한 표현방법이어야 하며(추론의 적합성), 그 추론과정이 가장 바람직한 방향으로 진행될 수 있도록 하기 위한 부가정보 및 지식의 표현구조에 적절히 포함시킬 수 있는 능력이 필요하다(추론의 효율성). 또한 새로운 지식을 쉽게 획득함으로써 지식을 축적할 수 있어야 한다(지식획득 능력).
3. 규칙기반 시스템의 추론방법 중 전방향 추론과 후방향 추론에 대하여 설명하라.
전방향 추론은 현재의 상황이나 사실의 집합으로부터 목표사실 또는 원하는 결론을 얻기 위한 과정으로 데이터 구동, 사건구동, 상황식 추론방법에 해당되는데, 특히 변화하는 상황에 맞게 추론을 하여 동작해야 하는 시스템에서 적합한 추론방법이다. 후방향 추론은 목표나 결론이 현재상태 또는 현재의 사실들로부터 유도해 낼 수 있는가를 알아내기 위해 결론로부터 가정적 방향으로 진행하는 추론방법으로, 목표구동, 하향식 추론이라 할 수 있다.
1. 지식기반 시스템에서 주어진 문제의 상황에 따라 지식을 이용하여 결론을 이끌어 내는 역할을 담당하는 것은?
① 지식 베이스 ② 사용자 인터페이스
③ 지식표현 ④ 추론기관
📌 정답: 4
📌 해설:
지식기반 시스템에서 지식 베이스는 적용하고자 하는 분야의 지식을 포함한 모든 문제풀이에 필요한 지식을 저장하고 있으며, 추론기관은 지식 베이스의 지식을 이용하여 주어진 문제의 상황에 맞는 결론을 추론하는 역할을 한다.
2. 지식기반 시스템의 주요 구성요소에 해당되는 것은?
① 지식 베이스와 추론기관 ② 지식공학자와 DB
③ 추론기관과 입력장치 ④ 입력장치와 출력장치
📌 정답: 1
📌 해설:
지식기반 시스템은 적용하고자 하는 분야의 지식을 포함한 모든 문제풀이에 필요한 지식을 저장하는 지식 베이스, 주어진 문제 상황에 대하여 지식 베이스 내의 지식을 이용한 추론을 하여 결론을 제시하는 추론기관의 두 가지 핵심 요소와 함께 사용자와 지식기반 시스템 사이의 연결을 담당하는 사용자 인터페이스 등으로 구성된다.
3. 다음 중 지식의 사용에 관한 지식을 나타내는 것은?
① 문제영역 지식 ② 사실
③ 메타지식 ④ 경험적 지식
📌 정답: 3
📌 해설:
어떤 규칙의 다른 규칙보다 우선적으로 적용해야 할 조건을 제시하거나, 특수한 문제풀이에 유용한 지식의 적용순서를 제시하거나, 추론에 대한 설명을 통해 결과에 대한 신뢰감을 제공하는 등 지식의 사용에 관한 지식을 메타지식(meta knowledge)이라고 한다.
4. 선언적 지식표현 방법은 무엇인가?
① 상호 독립적이고 단편적인 지식을 모아 놓는 방식이다.
② 사용에 대한 제어정보가 지식 자체에 내포된 지식이다.
③ 지식의 사용에 관한 지식이다.
④ 문제 분야 이외의 지식을 집약하는 표현방법이다.
📌 정답: 1
📌 해설:
선언적 지식은 상호 독립적, 단편적인 지식을 나열해 놓은 형태로, 지식 자체에 실행 제어에 대한 정보가 없으며, 별도의 추론기관에 의해 추론에 사용된다. 지식 사용에 대한 제어정보가 지식 자체에 내포되어 있는 지식표현 방법은 절차적 지식이다.
5. 다음 중 선언적 지식에 대한 설명을 모두 고른 것은?
(가) LISP와 같은 프로그래밍 언어로 작성된 명령어의 집합이다.
(나) 지식 사용에 대한 제어정보가 지식 자체에 내포되어 있다.
(다) 상호 독립적이고 단편적인 지식을 나열해 놓은 형태이다.
(라) 별도의 추론기관이 있어, 이에 의해 추론을 한다.
① (가), (나) ② (나), (다)
③ (가), (다) ④ (다), (라)
📌 정답: 4
📌 해설:
선언적 지식은 상호 독립적이고 단편적인 지식을 나열해 놓은 형태로, 지식의 적용을 위한 제어정보는 지식 자체에 표현되지 않으며, 별도의 추론기관에 의해 추론에 활용된다.
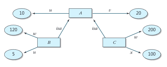
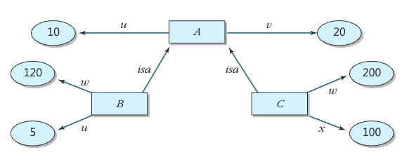
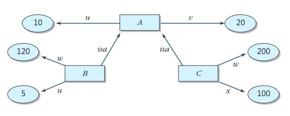
6. 다음 시맨틱 네트에서 \(A, B, C\)가 가질 수 있는 속성과 그 값이 올바른 것은?
(그림: 시맨틱 네트워크 다이어그램 포함)
\[
\begin{align*}
\text{A} & : \text{weight} = 45 \\
\text{B} & : \text{weight} = 60 \\
\text{C} & : \text{length} = 150, \text{color} = \text{red} \\
\end{align*}
\]
1. \( A \)의 color=red
2. \( C \)의 height=80
3. \( B \)의 weight=45
4. \( C \)의 has-part=wheel
📌 정답: 4
📌 해설:
\( A \)의 속성은 has-part(=wheel)와 weight(=45)이다. \( B \)는 \( A \)와 isa 관계에 있으므로, weight(=60), height(=80), color(=red)와 함께 상속받은 has-part(=wheel)라는 속성을 갖는다. \( C \) 역시 \( A \)와 isa 관계에 있으므로, length(=150) 및 color(=red)와 함께 has-part(=wheel)와 weight(=45)라는 속성을 갖는다.
7. 조건과 그 조건을 만족할 경우 내리게 되는 결론, 취할 행동 등을 기술하는 형태의 지식표현 방법은?
① 규칙 ② 시맨틱 네트
③ 프레임 ④ LISP 프로그램
📌 정답: 1
📌 해설:
규칙은 'IF 조건부 THEN 결론부' 형식의 지식표현 방법으로, 현재상태에 조건부가 만족하는 규칙을 찾아 결론부의 행동을 실행한다.
8. 프레임을 이용한 지식표현에 대한 올바른 설명은?
① 특성상속을 사용한다.
② 절차적 지식만 포함한다.
③ 절차적 지식을 포함시킬 수 없다.
④ 형식논리를 이용한 지식표현 방법이다.
📌 정답: 1
📌 해설:
프레임은 isa 슬롯을 이용하여 계층적 개념관계를 표현할 수 있으며, 이를 통해 일반적 개념의 속성을 하위개념의 프레임이 이아받을 수 있는 특성상속을 사용한다.
9. 전문가 시스템에 대한 올바른 설명은?
① 일반적 상황에 대한 지능적 판단과 행동을 구현한 것이다.
② 인간 전문가에 비해 창조적인 해법을 제시한다.
③ 특정 문제 분야에 적용하기 위한 지식기반 시스템이다.
④ 상식적 판단이 필요한 분야에 적합하다.
📌 정답: 3
📌 해설:
전문가 시스템은 특정 응용 분야에 정통한 전문가로부터 유용한 지식, 문제 해결 전략을 컴퓨터에 입력하여 놓은 지식기반 시스템이다.
10. 전문가 시스템의 추론기관에 대한 잘못된 설명은?
① 규칙해석기와 스케줄러로 구성된다.
② 규칙해석기는 현재의 사실을 바탕으로 적용할 규칙을 찾는다.
③ 스케줄러는 규칙이 적용되는 순서를 결정한다.
④ 문제 분야의 전문가지식이 추론기관 내에 결합되어 있다.
📌 정답: 4
📌 해설:
전문가 시스템은 지식기반 시스템이다. 지식기반 시스템은 문제영역의 지식을 저장하는 지식 베이스와 이를 이용한 추론을 담당하는 추론기관이 분리되어 있다.
1. 지식기반 시스템의 주요 구성요소에 해당되는 것은?
① 지식 베이스와 추론기관
② 지식공학자와 DB
③ 추론기관과 입력장치
④ 입력장치와 출력장치
📌 정답: 1
📌 해설: 지식기반 시스템의 주요 구성요소는 지식 베이스와 추론기관이다. 지식 베이스는 시스템이 사용하는 지식을 저장하는 데이터베이스이며, 추론기관은 이 지식을 이용해 문제를 해결하는 역할을 한다. 지식공학자와 DB는 시스템 개발과 유지보수를 담당하는 구성원이므로 주요 구성요소와는 다르다. 추론기관과 입력장치는 지식기반 시스템의 일부일 수 있으나, 입력장치는 주요 구성요소에 해당되지 않는다. 입력장치와 출력장치는 일반적인 컴퓨터 시스템의 구성요소이지, 지식기반 시스템의 주요 구성요소와는 거리가 있다.
2. 다음 중 지식의 사용에 관한 지식을 나타내는 것은?
① 문제영역 지식
② 사실
③ 메타지식
④ 경험적 지식
📌 정답: 3
📌 해설: 메타지식을 의미한다.
3. 규칙을 이용한 지식표현 방법에서 지식이 표현되는 형식은?
① 명제
② 속성 및 속성값의 집합
③ 네트워크 형식
④ 'IF 조건 THEN 결론' 형식
📌 정답: 4
📌 해설: 인공지능에서 규칙이란 주어진 상황을 위한 권고, 지시, 전략을 나타내는 정형화된 표현방법이다. 규칙은 가정 - 결론 문장으로 표현된다.
4. 선언적 지식을 올바르게 설명하고 있는 것은?
① 프로그램에 내재된 지식이다.
② 추론기관이 필요없다.
③ 상호 독립적, 단편적 지식을 나열해 놓은 지식표현이다.
④ 절차적 지식에 비해 지식의 편집, 획득 및 검색이 어렵다.
📌 정답: 3
📌 해설: 선언적 지식은 단편적이고 독립적인 지식으로 구성되며, 이러한 지식을 운영하기 위한 프로그램을 통하여 추론에 사용된다. 즉, 지식은 단지 나열되어 있고, 이를 사용하는 방법은 주어지지 않는다. 추론기관이라는 프로그램이 별도로 존재하며, 이 프로그램에 의해 지식이 추론에 사용된다. 각각의 지식마다 독립성이 강하므로 개별적으로 지식을 편집하고 회득 , 검색하는 것이 절차적 지식에 비해 용이하다.
5. 시맨틱 네트의 특성상속에 대한 설명으로 적절하지 않은 것은?
① 한 노드와 관련된 속성은 그 노드에 모두 직접 연결된다.
② 지식이 상위개념에 표현되어 하위개념이 공유된다.
③ 특성상속 관련된 속성은 isa이다.
④ 상위개념에서 하위개념으로 지식의 분배가 자동적으로 이루어진다.
📌 정답: 1
📌 해설: 상위 클래스의 속성과 값을 하위 클래스 또는 사례가 이어받도록 하는 추론형태이다. 상위 개념의 지식을 하위개념이 공유하는 중앙집중적 방법의 지식 표현이다. 특성상속이 이루어지는 아크는 isa 아크와 ako 아크이다. 상위 개념은 일반적인 속성을, 하위개념은 일반적 속성값과 다르거나 고유한 속성을 연결한다.
6. 다음의 시맨틱 네트에서 'B'에 대해 얻을 수 있는 속성 및 값이 올바른 것은?

① u = 10
② v = 20
③ w = 200
④ x = 100
📌 정답: 2
📌 해설: u,w 는 자신의 것으로 결정된다. v는 A의 것을 가져오므로 20이 정답이다.
7. 프레임에서 절차적 지식을 표현하는 수단은?
① 슬롯
② 클래스 프레임
③ ako 속성
④ 부가 프로시저
📌 정답: 4
📌 해설: 프레임에서 절차적 지식을 표현하는 수단은 부가 프로시저이다. 부가 프로시저는 특정 조건이 충족될 때 실행되는 코드를 포함하며, 절차적 지식을 명시적으로 표현한다. 슬롯은 프레임의 속성을 나타내고, 클래스 프레임은 객체 지향 프로그래밍에서 클래스와 유사한 구조를 가지며, ako 속성은 상속 관계를 나타낸다. 따라서 부가 프로시저만이 절차적 지식을 표현하는 데 사용된다.
8. 전문가 시스템을 구축할 때 지식공학자는 어떠한 역할을 담당하는가?
① 특정 문제상황에 대처하는 방법을 제시한다.
② 정형된 지식표현 방법에 따라 지식 베이스를 구축한다.
③ 특정 상황에서 선호하는 지식을 결정한다.
④ 문제 분야의 경험적 지식을 제시한다.
📌 정답: 2
📌 해설: 전문가 시스템을 구축할 때 지식공학자는 정형된 지식표현 방법에 따라 지식 베이스를 구축한다. 이 역할은 시스템이 전문가처럼 문제를 해결할 수 있도록 필요한 지식을 구조화하고 체계화하는 것이다. 1번은 전문가 시스템의 사용자가 하는 일이며, 3번은 지식공학자의 역할이 아니라 시스템이 해야 할 일이다. 4번은 주로 도메인 전문가가 제공하는 내용이다.
1. 지식, 정보, 데이터를 구별하여 설명하라.
- 데이터: 관찰이나 측정을 통해 수집된 사실이나 값이다.
- 정보: 데이터를 처리하여 의미 있는 형태로 만든 것이다.
- 지식: 정보를 이해하고 해석하여 축적된 경험과 결합한 것이다.
2. 지식 베이스와 데이터베이스는 어떻게 다른가?
- 데이터베이스: 구조화된 데이터의 집합으로, 검색과 관리를 목적으로 한다.
- 지식 베이스: 특정 문제를 해결하기 위해 필요한 지식의 집합으로, 추론을 통해 문제 해결을 지원한다.
3. 지식공학이란 무엇인가?
지식공학은 지식을 수집, 정리, 분석, 표현하여 지식기반 시스템을 설계하고 구현하는 학문이다.
4. 지식은 어떻게 분류할 수 있는가?
- 선언적 지식: 사실이나 개념에 관한 지식.
- 절차적 지식: 방법이나 과정에 관한 지식.
- 메타 지식: 지식의 사용과 관리에 관한 지식.
5. 지식표현 방법을 설명하라.
지식표현 방법은 문제 해결을 위해 지식을 구조화하고 저장하는 방식으로, 규칙, 프레임, 시맨틱 네트워크, 논리 등의 형태로 표현된다.
6. 지식표현의 조건에는 어떤 것이 있는가?
- 표현의 정확성: 문제 해결에 필요한 지식을 정확하게 표현해야 한다.
- 표현의 효율성: 지식을 효과적으로 사용하고 관리할 수 있어야 한다.
- 표현의 적합성: 문제 해결을 위한 적절한 방식으로 지식을 표현해야 한다.
7. 다음과 같이 표현된 규칙 사이의 추론사슬을 나타내라.
\[
\begin{align*}
A &\rightarrow B \\
B &\rightarrow C, D \\
A, C &\rightarrow E \\
D &\rightarrow F \\
\end{align*}
\]
추론사슬:
1. \( A \)를 시작점으로 한다.
- \( A \)로부터 \( B \)를 추론할 수 있다.
\[
A \rightarrow B
\]
2. \( B \)로부터 \( C \)와 \( D \)를 추론할 수 있다.
- \( B \)를 통해 \( C \)와 \( D \)를 얻는다.
\[
B \rightarrow C, D
\]
3. \( A \)와 \( C \)로부터 \( E \)를 추론할 수 있다.
- \( A \)와 \( C \)를 통해 \( E \)를 얻는다.
\[
A, C \rightarrow E
\]
4. \( D \)로부터 \( F \)를 추론할 수 있다.
- \( D \)를 통해 \( F \)를 얻는다.
\[
D \rightarrow F
\]
따라서 가능한 추론사슬은 다음과 같이 정리할 수 있다.
1. \( A \rightarrow B \rightarrow C \)
2. \( A \rightarrow B \rightarrow D \)
3. \( A \rightarrow B \rightarrow C \rightarrow E \)
4. \( A \rightarrow B \rightarrow D \rightarrow F \)
이를 도식화하면:
\[
\begin{array}{c}
A \rightarrow B \rightarrow C \rightarrow E \\
A \rightarrow B \rightarrow D \rightarrow F \\
\end{array}
\]
이와 같이, \( A \)에서 시작하여 \( B \)를 거쳐 각각 \( C \)와 \( D \)를 통해 최종적으로 \( E \)와 \( F \)에 도달하는 두 가지 주요 추론사슬을 나타낼 수 있다.
8. 다음의 지식을 시맨틱 네트로 표현해 보라.
"쏘나타는 승용차이다."
"승용차는 자동차이다."
"승용차는 4개의 바퀴가 있다."
[쏘나타] -isa-> [승용차] -isa-> [자동차]
|
has-part
|
[4개의 바퀴]
9. 자동차 부품에 관한 지식을 프레임을 이용하여 표현해 보라.
[예] 엔진 프레임, 제동장치 프레임, 타이어 프레임 등으로 나누고, 이를 다시 밸브 프레임, 발화장치 프레임 등으로 나눈다.
10. 다음과 같은 블록세계(block world)를 시맨틱 네트로 나타내라. 단 여기서 사용할 아크는 top-of, next-to, isa이고, 사용할 노드는 A, B, C, D, Box, Pyramid이다.

블록세계를 시맨틱 네트로 나타내면 다음과 같다. 블록 A는 B의 왼쪽에 있으며, B는 C의 아래에 있고, C는 D의 아래에 있다. 또한, D는 피라미드 모양이고, 나머지 블록들은 박스 모양이다. 이를 바탕으로 노드와 아크를 구성하면 다음과 같다.
- A isa Box
- B isa Box
- C isa Box
- D isa Pyramid
- A next-to B
- B top-of A
- B next-to C
- C top-of B
- C top-of D
11. 프레임에서 부가 프로시저의 역할은 무엇인가?
부가 프로시저는 프레임에서 특정 슬롯의 값이 접근되거나 수정될 때 자동으로 실행되는 절차를 정의한다. 이를 통해 프레임의 동적 동작을 제어할 수 있다.
12. 전문가 시스템을 만들기 위해 지식공학자가 하는 역할은 무엇인가?
- 특정 문제상황에 대처하는 방법을 제시한다.
- 정형된 지식표현 방법에 따라 지식 베이스를 구축한다.
- 특정 상황에서 선호하는 지식을 결정한다.
- 문제 분야의 경험적 지식을 제시한다.
1. 지식기반 시스템에 대한 적절한 설명은?
1) 모든 분야에 대한 지식을 축적하여 문제풀이에 사용한다.
2) 문제분야의 지식과 추론을 담당하는 추론기관이 분리되어 있다.
3) 사용자 인터페이스는 지식기반 시스템의 추론을 담당한다.
4) 문제분야의 전문지식을 메타지식이라고 한다.
정답: 2
해설 : 지식기반 시스템을 구성하는 주요 요소는 지식베이스, 추론기관, 사용자 인터페이스이다. 지식베이스에는 대상 분야의 지식을 포함한 문제풀이에 필요한 지식을 저장하되, 지식을 이용한 추론은 추론기관이 담당하는 것으로 분리된다.
2. 다음 중 선언적 지식에 대한 설명을 모두 고른 것은?
㈀ 프로그래밍 언어로 작성된 명령어의 집합이다.
㈁ 지식 사용에 대한 제어정보가 지식 자체에 내포되어 있다.
㈂ 상호 독립적이고 단편적인 지식을 나열해 놓은 형태이다.
㈃ 별도의 추론기관이 있어, 이에 의해 추론을 한다.
1) ㈀, ㈁
2) ㈀, ㈂
3) ㈁, ㈂
4) ㈂, ㈃
정답: 2
해설: 선언적 지식은 상호 독립적이고 단편적인 지식을 나열해 놓은 정적인 지식으로, 지식의 적용을 위한 제어정보는 지식 자체에 표현되지 않으며, 별도의 추론기관에 의해 추론이 이루어진다.
3. 다음 시맨틱 네트에서 A에 대해 구할 수 있는 속성과 그 값이 잘못된 것은?

1) 배기량 - 1,591
2) 승차인원 – 5
3) has-part – 엔진
4) has-part – 선루프
정답: 2
해설 : 배기량은 A에 직접 연결된 속성으로 그 값은 1,591이다. 승차인원은 ‘승용차’로부터 상속된 값인 5이며, ‘자동차’로부터 ‘엔진’을 has-part 속성으로 상속받는다. ‘선루프’는 직접 또는 상속을 통해 A의 속성 값으로 얻을 수 없다.
4. 프레임을 이용한 지식표현 방법에 대한 올바른 설명은?
1) 절차적 지식을 표현할 수 있다.
2) 기호논리를 이용하여 지식을 표현한다.
3) 특성상속을 사용할 수 없다.
4) ‘IF 조건 THEN 결론’ 형식의 지식표현 방법이다.
정답: 2
해설 : 프레임은 부가 프로시저를 사용하여 슬롯의 사용과 관련한 절차적 지식을 표현할 수 있으며, 특성상속을 통해 지식의 공유와 분배를 할 수 있다.
5. 전문가 시스템에 대한 올바른 설명은?
1) 다양한 문제를 단일 시스템으로 해결하기 위한 에이전트이다.
2) 정해진 응용분야에 특화된 지식을 이용하는 지식기반 시스템이다.
3) 상식 문제를 풀이하기 위한 시스템이다.
4) 지식 자체에 문제풀이 절차가 결합되어 있는 시스템이다.
정답: 2
해설 : 전문가 시스템은 상식 등 일반적 지능을 구현하기 위한 시도에서 벗어나 주어진 문제 분야에서 인간 전문가의 문제해결 지식, 전략 등을 시뮬레이션함으로써 문제풀이, 의사결정을 지원하는 지식기반 시스템이다.
논리에 의한 지식 표현
1. 다음 문장을 술어논리 형식으로 표현하라. 단, '아버지이다', '어머니이다', '부모이다', '형제이다', '사랑한다'라는 술어는 각각 'Father', 'Mother', 'Parent', 'Brother', 'Loves'라는 술어로 표현한다.
(가) 어떤 사람의 아버지나 어머니는 그 사람의 부모이다.
(나) 모든 부모는 자식을 사랑한다.
(다) \(x\)가 \(y\)의 부모이고 \(y\)가 \(z\)의 형제라면 \(x\)는 \(z\)의 부모이다.
\[
1) \text{(가)} \ \forall x \forall y [( \text{Father}(x, y) \lor \text{Mother}(x, y) ) \rightarrow \text{Parent}(x, y)] \\
\\
2) \text{(나)} \ \forall x \forall y [\text{Parent}(x, y) \rightarrow \text{Loves}(x, y)] \\
\\
3) \text{(다)} \ \forall x \forall y \forall z [( \text{Parent}(x, y) \land \text{Brother}(y, z) ) \rightarrow \text{Parent}(x, z)]
\]
2. 문제1의 공리와 다음의 사실이 주어졌을 때 "영석은 민철을 사랑한다"라는 사실을 증명하라.
\[
\text{Father}(\text{영석}, \text{민수}) \\
\text{Brother}(\text{민수}, \text{민철})
\]
각각의 공리를 절 형태로 표현하면 다음과 같다.
\[
\text{(가)} \ \forall x \forall y [( \text{Father}(x, y) \lor \text{Mother}(x, y) ) \rightarrow \text{Parent}(x, y)] \\
\Rightarrow \ \neg \text{Father}(x_1, y_1) \lor \text{Parent}(x_1, y_1) \\
\ \ \ \ \ \ \ \ \ \ \ \ \ \ \ \ \ \ \ \ \neg \text{Mother}(x_2, y_2) \lor \text{Parent}(x_2, y_2)
\]
\[
\text{(나)} \ \forall x \forall y [\text{Parent}(x, y) \rightarrow \text{Loves}(x, y)] \\
\Rightarrow \ \neg \text{Parent}(x_3, y_3) \lor \text{Loves}(x_3, y_3)
\]
\[
\text{(다)} \ \forall x \forall y \forall z [( \text{Parent}(x, y) \land \text{Brother}(y, z) ) \rightarrow \text{Parent}(x, z)] \\
\Rightarrow \ \neg \text{Parent}(x_4, y_4) \lor \neg \text{Brother}(y_4, z_4) \lor \text{Parent}(x_4, z_4)
\]
또한 주어진 사실과 일정하려는 사실의 부정은 다음과 같다.
\[
\text{Father}(\text{영석}, \text{민수}) \\
\text{Brother}(\text{민수}, \text{민철})
\]
그리고 증명하려는 사실의 부정은 다음과 같다.
\[
\neg \text{Loves}(\text{영석}, \text{민철})
\]
이를 바탕으로 도출연역을 실행한 과정은 다음 그림과 같다.

1. 기호논리에 대한 올바른 설명은?
① 인식의 본질이나 과정을 표현하는 것이다.
② 불대수라는 수학적 도구를 사용한다.
③ 참인 동시에 거짓인 명제가 존재한다.
④ 기호가 내포하는 의미를 해석하여 추론을 한다.
📌 정답: 2
📌 해설:
기호논리는 기호로 표현된 명제와 AND, OR, NOT 등의 논리연산자를 이용한 명제를 도구로 사용한 연역을 할 수 있게 한다. 인식론적 논리학이 인식의 본질이나 과정을 연구하는 것과 달리 기호논리학에서는 기호가 내포하는 의미 자체보다는 형식적 논리 연산 및 추론에 관심을 가지고 있다.
2. 다음 중 연언표준형에 해당되는 논리식은?
① \((P \land Q) \lor (R \land S)\)
② \((\sim P \lor Q) \land (R \lor S \lor \sim Q)\)
③ \((\sim P \lor Q) \land (R \lor (S \land U))\)
④ \(\sim (P \lor Q) \land (P \lor \sim R)\)
📌 정답: 2
📌 해설:
연언표준형은 리터럴의 논리합으로 연결된 절을 논리곱으로 연결한 형식의 표준형 논리식이다. ①은 선언표준형이다.
3. 다음 중 항상 참인 추론은?
① \(a\)가 참이고 \(a \rightarrow b\)이면 \(b\)가 참이다.
② \(a\)가 거짓이고 \(a \rightarrow b\)이면 \(b\)가 거짓이다.
③ \(b\)가 참이고 \(a \rightarrow b\)이면 \(a\)가 참이다.
④ \(b\)가 거짓이고 \(a \rightarrow b\)이면 \(a\)가 참이다.
📌 정답: 1
📌 해설:
조건명제 \(a \rightarrow b\)로부터 항상 참인 추론을 할 수 있는 것은 \(a\)가 참일 때 \(b\)도 참임을 나타내는 것이다. 참임을 추론하는 긍정식(modus ponens)과 \(b\)가 거짓일 때 \(a\)도 거짓임을 추론하는 부정식(modus tollens)이다.
② \(a\)가 거짓이고 \(a \rightarrow b\)이면 \(b\)가 거짓이다. 이는 틀린 추론이다. 조건 \(a \rightarrow b\)에서 \(a\)가 거짓일 때 \(b\)의 참/거짓 여부를 결정할 수 없다. \(a\)가 거짓이라면, \(b\)가 참이든 거짓이든 \(a \rightarrow b\)는 항상 참이다.
③ \(b\)가 참이고 \(a \rightarrow b\)이면 \(a\)가 참이다. 이는 틀린 추론이다. 조건 \(a \rightarrow b\)에서 \(b\)가 참이라고 해서 \(a\)가 참이라는 보장이 없다. 예를 들어, \(b\)가 참인 경우에도 \(a\)는 참일 수도 있고 거짓일 수도 있다.
4④ \(b\)가 거짓이고 \(a \rightarrow b\)이면 \(a\)가 참이다. 이는 틀린 추론이다. 조건 \(a \rightarrow b\)에서 \(b\)가 거짓일 때, \(a\)가 거짓이라는 결론을 이끌어낼 수 있다. 이는 부정식(Modus Tollens)에 해당한다. \(a \rightarrow b\)가 참이고 \(b\)가 거짓이면, \(a\)는 거짓이어야 한다. 하지만 주어진 문장은 \(a\)가 참이어야 한다고 잘못 설명하고 있다.
따라서, 항상 참인 추론은 ①의 긍정식(Modus Ponens)이다.
4. \(P \rightarrow Q\)가 참일 때, 긍정논법에 의한 올바른 추론은?
① \(P\)가 참이면 \(Q\)도 참이다.
② \(P\)가 거짓이면 \(Q\)도 거짓이다.
③ \(Q\)가 참이면 \(P\)도 참이다.
④ \(P\)가 거짓이면 \(Q\)는 참이다.
📌 정답: 1
📌 해설:
긍정논법은 \(P\)라는 사실과 \(P \rightarrow Q\)라는 명제로부터 \(Q\)라는 사실을 추론한다.
5. 다음 중 부모절과 도출절의 쌍이 올바른 것은?
① 부모절: \(p, \sim p \lor q\) 도출절: \(q\)
② 부모절: \(p \lor q, \sim p \lor q\) 도출절: \(\sim p\)
③ 부모절: \(p, p \rightarrow q\) 도출절: \(true\)
④ 부모절: \(p \land q, \sim q \land r\) 도출절: \(p \land r\)
📌 정답: 1
📌 해설:
리터럴들의 논리합만으로 표현된 두 절에 동일 리터럴의 긍정과 부정이 동시에 존재할 때, 이들을 제거한 나머지 논리식의 논리합에 해당되는 도출절을 얻는다. ①에서 \(p \lor false, \sim p \lor false\)와 동치이므로, 이 두 절에서 각각 \(p\)와 \(\sim p\)를 제거하고 난 나머지 절의 논리합 \(false \lor false\), 즉 \(false\)가 도출된다.
6. 다음은 도출연역에 의한 정리증명 알고리즘이다. 빈칸에 넣을 내용이 올바른 것은?
1. 증명하고자 하는 ① 공리의 리스트에 첨가
2. 공리 리스트를 ② (으)로 표현한 후, 절 분리
3. 도출 가능한 쌍이 없을 때까지 다음을 반복
1) 도출 가능한 절의 쌍을 찾아 도출절을 구한다.
2) 도출절이 ③ 이면 정리가 참임이 증명된다.
3) 도출절을 공리 리스트에 추가한다.
4. ④ 를 알고리즘 끝낸다.
① 정리를 그대로
② 선언표준형
③ false
④ 정리가 참임
📌 정답: 3
📌 해설:
도출연역에 의한 정리증명 알고리즘에서는 증명하고자 하는 정리를 부정한 후 거짓을 추론해 냄으로써, 증명하고자 했던 정리가 참임을 증명하는 방법을 사용한다. 그러므로 ①은 '정리를 부정하여', ②는 '연언표준형', ③는 '정리 증명에 실패하였음'이다.
7. \((P \land Q) \rightarrow (\neg R \land S)\)를 도출연역을 하기 위해 절 형태로 변환한 것은?
① \(\sim P \lor \sim Q \lor \sim R, \sim P \lor \sim Q \lor S\)
② \(P \lor \sim R, Q \lor \sim R, P \lor S, Q \lor S\)
③ \(\sim P, \sim Q, \sim R \land S\)
④ \(P \land Q, \sim R \land S\)
📌 정답: 1
📌 해설:
\((P \land Q) \rightarrow (\neg R \land S)\)는 \(\neg (P \land Q) \lor (\neg R \land S)\)와 같다. 이를 다음과 같이 변환할 수 있다.
\[
\begin{align*}
(P \land Q) \rightarrow (\neg R \land S) &= \neg (P \land Q) \lor (\neg R \land S) \\
&= (\neg P \lor \neg Q) \lor (\neg R \land S) \\
&= (\neg P \lor \neg Q) \lor \neg R \land (\neg P \lor \neg Q) \lor S \\
&= \neg P \lor \neg Q \lor \neg R \land \neg P \lor \neg Q \lor S
\end{align*}
\]
1. 원래 명제: \((P \land Q) \rightarrow (\neg R \land S)\)
2. 이를 논리적으로 동치인 형태로 변환:
\[
(P \land Q) \rightarrow (\neg R \land S) \equiv \neg (P \land Q) \lor (\neg R \land S)
\]
여기까지는 주어진 해설과 동일하다.
3. \(\neg (P \land Q)\)를 분배 법칙을 이용하여 변환:
\[
\neg (P \land Q) \equiv (\neg P \lor \neg Q)
\]
4. 이 결과를 원래 명제에 대입:
\[
(\neg P \lor \neg Q) \lor (\neg R \land S)
\]
5. 이제 \((\neg R \land S)\)를 분배 법칙을 사용하여 절 형태로 변환:
\[
(\neg P \lor \neg Q) \lor (\neg R \land S) \equiv [(\neg P \lor \neg Q) \lor \neg R] \land [(\neg P \lor \neg Q) \lor S]
\]
이 과정은 두 부분으로 나눌 수 있다:
- 첫 번째 부분: \((\neg P \lor \neg Q) \lor \neg R\)
- 두 번째 부분: \((\neg P \lor \neg Q) \lor S\)
6. 분배 법칙을 적용한 결과:
\[
(\neg P \lor \neg Q \lor \neg R) \land (\neg P \lor \neg Q \lor S)
\]
따라서 절 형태로 변환한 최종 결과는:
\[
\sim P \lor \sim Q \lor \sim R, \sim P \lor \sim Q \lor S
\]
8. 다음 중 술어논리의 정형식에 해당되는 것은? 단, \(P, Q\)는 술어기호, \(x, y\)는 객체변수, \(f\)는 함수기호이다.
① \(P(Q)\) \\
② \(\sim P(x) \rightarrow y \\
③ f(P(x) \lor Q(x)) \\
④ \exists x \sim P(f(x)) \lor Q(x) \\
📌 정답: 4
📌 해설:
객체상수 및 객체변수는 항이며, 함수기호(항) 역시 항이다. 참, 거짓, 술어기호(항)는 정형식이며, 정형식의 부정, 정형식 간의 조건명제 역시 정형식이다. 또한 객체변수를 포함하는 경우 정형식에 전칭기호나 존재기호를 사용한 것 역시 정형식이다.
① \(P(Q)\): \(Q\)는 술어기호이기 때문에, 이 표현은 술어 \(P\)가 술어 \(Q\)를 항으로 받아들여야 하는데, 이는 올바른 정형식이 아니다.
② \(\sim P(x) \rightarrow y\): \(y\)는 객체변수이나, 이 표현은 술어논리에서 조건문으로 적절한 정형식이 아니다. 조건문은 보통 두 개의 정형식 사이에서 정의된다.
③ \(f(P(x) \lor Q(x))\): \(f\)는 함수기호이지만, \(P(x) \lor Q(x)\)는 논리식이지 항이 아니다. 함수는 항을 받아들여야 하기 때문에, 이는 올바른 정형식이 아니다.
④ \(\exists x \sim P(f(x)) \lor Q(x)\): 이 표현은 객체변수 \(x\)에 대해 존재기호를 사용하고, 술어 \(P\)와 함수 \(f\)를 사용한 정형식이다. 이는 올바른 정형식이다.
9. \(P(x) \lor Q(y) \lor R(x, y)\)와 \(\sim R(A, B) \lor S(C)\)에 의해 도출되는 결과는? 단, \(x, y\)는 객체변수, \(A, B, C\)는 객체상수이다.
① \(P(x) \lor Q(y) \\
② S(C) \\
③ P(A) \lor Q(B) \lor S(C) \\
④ P(A) \lor Q(B) \lor R(A, B) \\
📌 정답: 3
📌 해설:
\(R(x, y) \lor \sim R(A, B)에서 x를 A, y를 B로 단일화한 후 나머지 논리식의 논리합을 구하면 된다.
1) 주어진 논리식:
\(P(x) \lor Q(y) \lor R(x, y)\)
\(\sim R(A, B) \lor S(C)\)
2) \(R(x, y)\)와 \(\sim R(A, B)\)를 단일화 (Unification):
\(R(x, y)\)에서 \(x = A\), \(y = B\)로 치환한다.
3) 단일화 결과:
\(P(A) \lor Q(B) \lor R(A, B)\)
\(\sim R(A, B) \lor S(C)\)
4) 이제 두 논리식을 결합한다:
\(P(A) \lor Q(B) \lor R(A, B)\)와 \(\sim R(A, B) \lor S(C)\)
5) \(R(A, B)\)와 \(\sim R(A, B)\)는 상쇄되므로:
\(P(A) \lor Q(B) \lor S(C)\)
따라서 도출되는 결과는 \(P(A) \lor Q(B) \lor S(C)\)이다.
10. 술어논리식으로 표현된 다음 절에 의해 도출될 수 있는 것은? 단, P, Q, R, S는 술어, A, B는 객체상수, x, y, z는 객체변수이다.
\[ \begin{array}{ll} \sim P(x, y) \lor Q(x, y) & Q(x, A) \lor S(A) \\ \sim R(A, B) & P(A, z) \\ P(x, y) \lor R(x, y) & \end{array} \]
1) \( S(A) \)
2) \( Q(A, y) \)
3) \( R(A, y) \)
4) \( Q(x, y) \land R(x, y) \)
📌 정답: 2
📌 해설:
\(\sim P(x, y) \lor Q(x, y)\)와 \(P(A, z)\)를 대상으로 도출할 수 있다. \(\sim P(x, y) \lor Q(x, y)\)에서 객체변수 x를 객체상수 A로 대입하면 \(\sim P(A, y) \lor Q(A, y)\)가 된다. 또한 \(P(A, z)\)에서 객체변수 z를 y로 통일하여 \(P(A, y)\)로 표현한다. 이제 \(\sim P(A, y) \lor Q(A, y)\)와 \(P(A, y)\)에 대한 도출절인 \(Q(A, y)\)를 얻을 수 있다.
1) 주어진 절 목록:
- \( \sim P(x, y) \lor Q(x, y) \)
- \( Q(x, A) \lor S(A) \)
- \( \sim R(A, B) \)
- \( P(A, z) \)
- \( P(x, y) \lor R(x, y) \)
2) 첫 번째 절을 변형:
- \( \sim P(x, y) \lor Q(x, y) \)에서 객체변수 \( x \)를 객체상수 \( A \)로 대입한다.
- \( x \)를 \( A \)로 대입하면 \( \sim P(A, y) \lor Q(A, y) \)가 된다.
3) 네 번째 절을 변형:
- \( P(A, z) \)에서 객체변수 \( z \)를 \( y \)로 통일한다.
- \( z \)를 \( y \)로 통일하여 \( P(A, y) \)로 표현한다.
4) 도출 과정:
- 이제 두 절 \( \sim P(A, y) \lor Q(A, y) \)와 \( P(A, y) \)를 사용한다.
- \( P(A, y) \)는 참이다.
- \( \sim P(A, y) \lor Q(A, y) \)는 \( Q(A, y) \)가 참이 되어야 참이 된다.
- 따라서 \( Q(A, y) \)가 참이라는 결론을 도출할 수 있다.
따라서 정답은 2번 \( Q(A, y) \)이다.
1. 연역법칙이란?
① \(p\)와 \(p \rightarrow q\)가 참이면 \(q\)도 참이다.
② \(p\)와 \(\sim p \rightarrow q\)가 참이면 \(q\)도 참이다.
③ \(q\)와 \(p \rightarrow q\)가 참이면 \(p\)도 참이다.
④ \(q\)와 \(p \rightarrow q\)가 참이면 \(\sim p\)도 참이다.
📌 정답: 1
📌 해설: 연역법칙이란 참인 명제와 그 명제를 기초로 새로운 명제를 도출하는 논리적 법칙이다. ①번은 \(p\)가 참이고 \(p \rightarrow q\)도 참일 때 \(q\)가 참이라는 의미로, 이는 연역법칙 중에서 가장 기본적인 형태이다. \(p\)가 참이고 \(p \rightarrow q\)가 참이면 \(q\)가 참이라는 것이 논리적으로 옳다. 따라서 ①번이 정답이다.
②번은 \(p\)와 \(\sim p \rightarrow q\)가 참일 때 \(q\)가 참이라는 것으로, 이는 논리적으로 맞지 않다. ③번은 \(q\)와 \(p \rightarrow q\)가 참일 때 \(p\)도 참이라는 것으로, 이는 귀납법에 가까워 연역법칙이 아니다. ④번은 \(q\)와 \(p \rightarrow q\)가 참일 때 \(\sim p\)도 참이라는 것으로, 이는 모순이 발생한다. 이러한 이유로 정답은 ①번이다.
2. 다음 중 술어논리식의 정형식에 해당되는 것은? (단, \(P, Q\)는 술어논리 기호, \(f\)는 함수, \(x\)는 객체변수이다.)
① \(\forall f \ P(x) \rightarrow Q(f(x))\)
② \(f(P(x))\)
③ \(\exists P \ P(x) \rightarrow Q(x)\)
④ \(\exists x \ P(x) \lor Q(x)\)
📌 정답: 4
📌 해설: 정답은 4이다. 정형식(formula)은 술어논리에서 올바르게 구성된 문장을 의미한다. 선택지 4는 정형식의 조건을 충족하며, "존재하는 어떤 x가 P(x) 또는 Q(x)이다"라는 의미를 가진다. 이는 술어와 논리연산자(존재, 논리합)를 사용하여 올바르게 표현된 문장이다.
다른 선택지들은 정형식이 아니다. 선택지 1은 함수 \(f\)가 술어논리에서 변수처럼 취급되고 있어 부적절하다. 선택지 2는 함수 \(f\)가 술어 \(P(x)\)를 인자로 받아들이는 형태로, 술어논리의 구조를 위반한다. 선택지 3은 술어 \(P\)를 존재 기호로 사용하는데, 술어는 객체가 아닌 변수나 함수로 사용해야 하므로 부적절하다.
3. \(P(x) \lor Q(x)\)와 \(\sim P(A) \lor R(B)\)에 의해 도출되는 결과는?
① \(Q(x) \lor R(x)\)
② \(P(A)\)
③ \(\sim P(A) \land Q(A)\)
④ \(Q(A) \lor R(B)\)
📌 정답: 4
📌 해설:
주어진 명제:
1. \(P(x) \lor Q(x)\)
2. \(\sim P(A) \lor R(B)\)
먼저, \(\sim P(A) \lor R(B)\)를 다시 쓴다:
3. \(\sim P(A)\) 또는 \(R(B)\)
이제 소거법을 적용해 보겠다:
- \(\sim P(A)\)가 참이면 \(P(A)\)는 거짓이다.
- \(P(x) \lor Q(x)\)에서 \(x = A\)를 대입하면 \(P(A) \lor Q(A)\)가 된다.
- \(P(A)\)가 거짓이면 \(Q(A)\)는 참이어야 한다. 따라서 \(\sim P(A)\)가 참일 때, \(Q(A)\)가 참이다.
또한:
- \(R(B)\)가 참이면 \(Q(A) \lor R(B)\)는 참이다.
따라서:
- \(\sim P(A)\)가 참이면 \(Q(A)\)가 참이다.
- \(R(B)\)가 참이면 \(Q(A) \lor R(B)\)는 참이다.
결론적으로, 두 경우 모두 \(Q(A) \lor R(B)\)가 참이 된다. 따라서 주어진 명제들로부터 도출되는 결과는 \(Q(A) \lor R(B)\)이다.
따라서 정답은 4번 \(Q(A) \lor R(B)\)이다.
4. 다음은 도출연역에 의해 어떠한 사실을 증명하는 과정이다. 공란의 내용으로 적합한 것은?
1. 증명하고자 하는 정리를 ① 하여 공리 리스트에 첨가
2. 공리 리스트를 ② 으로(로) 표현하여 절들을 분리한다.
3. 도출 가능한 쌍이 없을 때까지 다음을 반복
(1) 도출 가능한 절의 쌍을 찾아 도출절을 구함
(2) 도출절이 ③ 이면 정리가 참임을 알리고 끝냄
(3) 도출절을 공리 리스트에 추가
4. ④ 을 알리고 끝낸다.
① 부정
② 선언표준형
③ 참
④ 정리가 참임
📌 정답: 1
📌 해설: 2번 선지는 선언표준형이 아닌 연언표준형이다. 3번 선지는 False이다. 4번 선지는 정리증명에 실패하였음이다.
5. 다음 중 명제 \( p \rightarrow q \)와 동치인 명제는?
① \( p \land q \)
② \( \sim p \lor q \)
③ \( q \rightarrow p \)
④ \( p \land \sim q \)
📌 정답: 2
📌 해설:
명제 \( p \rightarrow q \)와 \( \sim p \lor q \)의 동치성을 진리표로 확인할 수 있다. 두 명제의 진리표를 작성하면 다음과 같다:
1) \( p \rightarrow q \)의 진리표:
| p | q | p \rightarrow q \) |
| T | T | T |
| T | F | F |
| F | T | T |
| F | F | T |
2) \( \sim p \lor q \)의 진리표:
| p | q | \( \sim p \) | \( \sim p \lor q \) |
| T | T | F | T |
| T | F | F | F |
| F | T | T | T |
| F | F | T | T |
두 진리표를 비교해보면 \( p \rightarrow q \)와 \( \sim p \lor q \)가 모든 경우에 대해 같은 진리값을 가짐을 알 수 있다. 따라서 \( p \rightarrow q \)와 \( \sim p \lor q \)는 동치이다.
6. 다음 중 연언표준형의 논리식은?
① \( (p \land q) \lor r \)
② \( (p \lor q) \lor (\sim r \land s) \)
③ \( (p \lor q) \land \sim (r \lor s) \)
④ \( p \land (q \lor \sim r) \land \sim s \)
📌 정답: 4
📌 해설: 연언표준형(CNF, Conjunctive Normal Form)은 여러 개의 절들이 논리곱으로 연결된 형태이다. 각 절은 하나 이상의 리터럴들이 논리합으로 연결된 형태이어야 한다. 주어진 선택지 중 정답은 ④이다.
①과 ②는 논리합이 최상위 연산자이므로 연언표준형이 아니다. ③은 논리합과 논리곱이 섞여 있어 연언표준형이 아니다. 반면에, ④는 각 절이 논리합으로 연결된 리터럴들이고, 전체가 논리곱으로 연결된 형태이므로 연언표준형이다.
1. p→q와 동치인 논리식은?
1) p∧q
2) ~p∧q
3) p∨~q
4) ~p∨q
정답: 4
해설 : p→q는 p가 참이고 q가 거짓인 경우에만 거짓, 그 외의 경우에는 참인 명제이다. 이와 동일한 진리표를 갖는 명제는 ~p∨q이다.
2. 다음 중 연언표준형에 해당되는 논리식은? 단, p, q, r, s는 기본명제이다.
1) (p∧q)∨(~p∧r)
2) (~p∨q∨~r)∧(p∨~s)
3) ~(p∨q)∧(p∨r)
4) ~(p∨q∨r)
정답: 2
해설 : 연언표준형은 리터럴(기본명제 또는 기본명제의 부정)들이 논리합으로 연결되어 만들어진 절들이 논리곱으로 연결된 형태의 표준형이다. ①은 리터럴들이 논리곱으로 연결되어 만들어진 절들이 논리합으로 연결된 형태의 선언표준형에 해당되는 논리식이다.
3. 다음 중 긍정논법에 의한 추론에 해당되는 것은?
1) p와 p→q가 참이면 q가 참이다.
2) ~p와 p→q가 참이면 ~q가 참이다.
3) q와 p→q가 참이면 p가 참이다.
4) ~q와 p→q가 참이면 p가 참이다.
정답: 1
해설 : 긍정논법은 p가 참이고 p→q일 때 q가 참이라는 결론을 내리는 추론 과정을 나타낸다. 부정논법은 q가 거짓이고 p→q일 때 p가 거짓이라는 결론을 내리는 추론 과정을 나타낸다.
4. P(x, y)∨~Q(x)와 Q(A)∨R(B)로부터 도출되는 결과는 무엇인가? 단, x, y는 객체변수, A, B는 객체상수이다.
1) P(A, y)∨R(B)
2) P(x, y)∨~R(B)
3) P(A, B)∧R(B)
4) P(x, y)∨R(y)
정답: 1
해설 : ~Q(x)와 Q(A) 쌍을 제거한 나머지를 논리합으로 연결하여 도출절을 구한다. 이때 ~Q(x)의 객체변수 x를 Q(A)의 객체상수 A로 단일화하여 도출절에 적용함으로써 ①의 결과를 얻는다.
5. 도출연역을 이용한 정리증명 과정에 대한 올바른 설명은?
1) 모든 공리를 선언 표준형으로 변환한다.
2) 증명하고자 하는 정리를 부정하여 거짓을 이끌어냄으로써 증명한다.
3) 모든 절들은 리터럴들의 논리곱으로 표현된다.
4) 귀납법을 이용하여 증명한다.
정답: 2
해설 : 도출연역을 위해서는 모든 공리를 연언 표준형으로 표현한다. 연언 표준형은 리터럴들의 논리합으로 표현되는 절들이 논리곱으로 연결되어 있는 형태이다. 증명하고자 하는 정리를 부정하여 공리 리스트에 추가한 후 도출연역을 통해 거짓이 도출되면 증명이 완료되는 모순에 의한 증명 방식을 사용한다.
참고 자료:
- 인공지능 (이광형,이병래 공저 | 한국방송통신대학교출판문화원 | 2018)